Altzin,钱辰飞
Altzin,钱辰飞
Altzin,钱辰飞
钱辰飞相册图片_2024钱辰飞K11-DCIM_CAM\Image_1724593576015.jpg
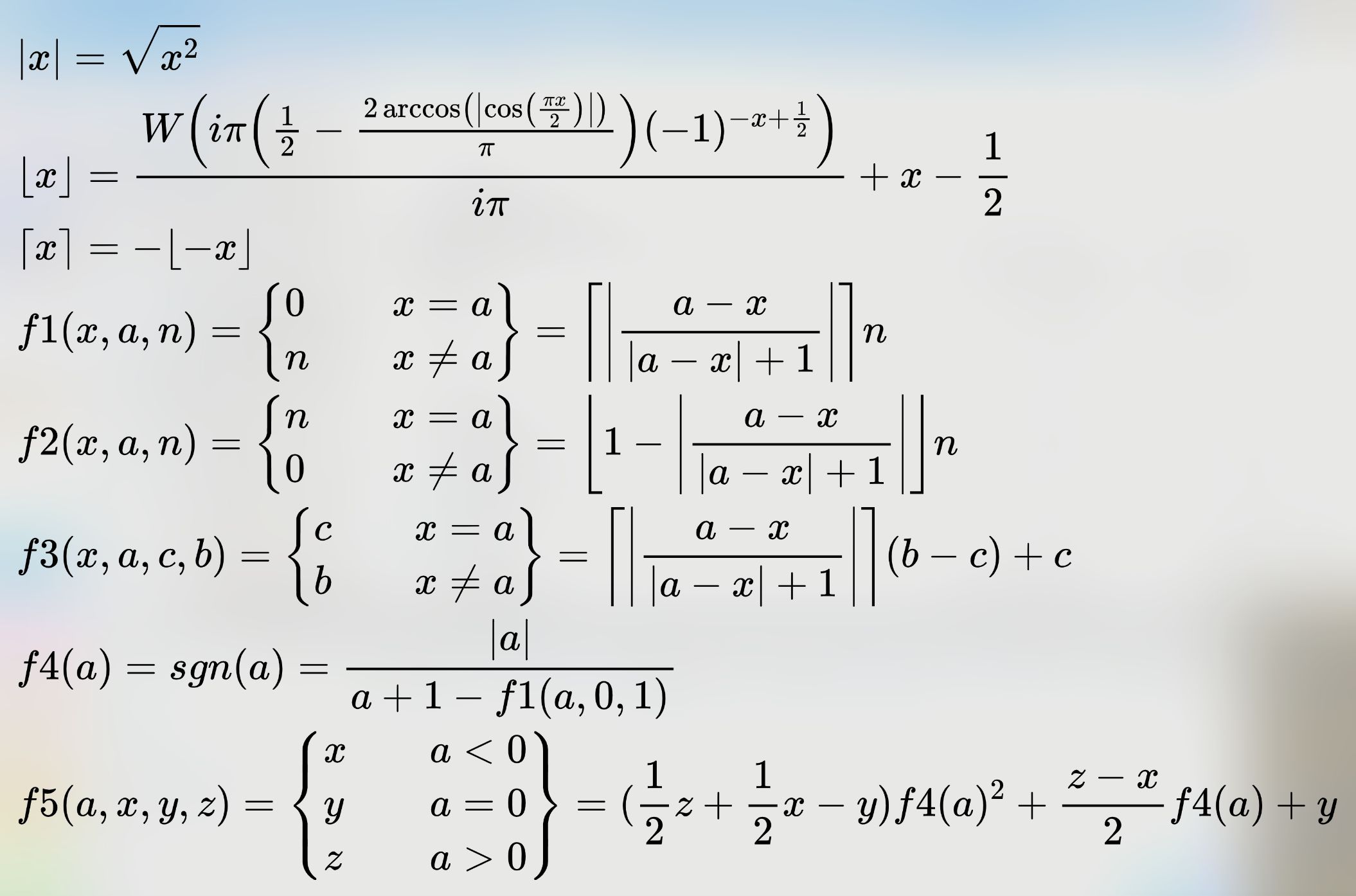
FS代数系统,用连续函数表示了floor函数,并做到了逻辑判断。作者0517钱辰飞
← 上一张
返回相册
下一张 →
随机推荐
至2025-6月-K11-DCIM_CAM\IMG_20230820_101428.jpg
2024钱辰飞K11-DCIM_CAM\AGC-GOOGLE_20240211_112213087.jpg
2024钱辰飞K11-DCIM_CAM\Screenshot_2024-09-21-19-39-43-13_9d26c6446fd7bb8e41d99b6262b17def.jpg
2024钱辰飞K11-DCIM_CAM\GOO_Altzin_20240804_104318238.jpg
相机-20250617前\P8050207.jpg
返回首页
更新文本标记
密码:
内容:
本页访问次数:26
Altzin,钱辰飞
Altzin,钱辰飞